Case study
Product design
Visual set
Others
About me
Case study
Product design
Visual set
Others
About me
Fashion E-commerce
Background
This is a E-commerce product based in Wechat Mini Program Ecology.
Date:
2018
Role:
Product manager & Designer
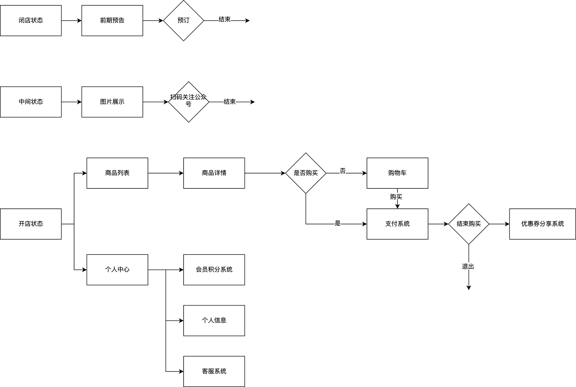
Product flow
User interface
↑
Back to Top